
Speckled Bush Cricket; via Johan J.Ingles-Le Nobel (Flickr)
In the third season of The Big Bang Theory, two supposedly nerdy fellows — Howard and Sheldon — get into a heated argument over a cricket. After timing the cricket’s “chirps” and noting the temperature in the room, Sheldon concludes, with utmost certainty, that the insect is a snowy tree cricket. Howard adamantly disagrees: “How could you possibly know that,” he asks, “without seeing the cricket?”
The answer? Dolbear’s Law — a totally awesome, totally real formula from the late 19th century that can be used to accurately estimate the temperature based on the number of chirps a cricket emits. Though Sheldon eventually ends up being wrong about the species of cricket he identifies, scientists have had better luck: for decades, they’ve worked to validate the method of using crickets as natural thermometers.
***
After paying his way through Ohio Wesleyan University as a chapel organist in the 1860s, physicist Amos Emerson Dolbear proceeded to lay out the scientific foundation for some of the biggest inventions in American history — only to fall short of recognition for his efforts.
When Alexander Graham Bell patented the telephone in 1876, Dolbear argued he’d invented it first; his case against American Bell Telephone was so convincing that it made it all the way to the US Supreme Court before being dismissed. “Had he been observant of patent office formalities,” wrote The Scientific American in 1881, “it is possible that the speaking telephone would be garnered among his laurels.” In 1885, Dolbear patented a wireless telegraphy system that was extensively used by Guglielmo Marconi to “invent” the radio (to this day, Dolbear’s role in the device is mostly neglected).

Dr. Amos Dolbear, the unintentional cricket scientist; Tufts Digital Library
Despite his accomplishments, Dolbear has been largely forgotten in the annals of American inventors, save for one thing: He “proved” — through the shoddiest science imaginable — that crickets can be used to accurately estimate temperatures.
In an 1897 copy of the American Naturalist, Dolbear published an extremely brief, curious nugget of information, titled “The Cricket as a Thermometer.” In it, he noted an observation:
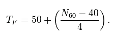
“The rate of [a cricket’s] chirp seems to be entirely determined by the temperature and this to such a degree that one may easily compute the temperature when the number of chirps is known.”
Listening to the crickets in a meadow outside his home, Dolbear made a series of three observations: At 60 degrees Fahrenheit, the crickets chirped at a rate of 80 per minute, at 70 degrees, they chirped at 120 per minute, and at temperatures below 50 degrees, “the crickets had no energy to waste in music,” and retained a rate of 40 chirps per minute. From this, he gathered the following equation (where T represents temperature in degrees Fahrenheit, and N represents the number of chirps per minute):

Though Dolbear’s “study” lacked crucial details — he didn’t specify the species of cricket,the number of observations, or variability — is was, for some reason, universally accepted by biologists and entomologists. A slew of follow-up studies followed.
In 1898, Carl and Edward Bessey, two brothers, conducted 82 observations on 8 specimens of snowy tree cricket (in its own right, a non-conclusive study), and found that Dolbear’s formula was valid to within one degree every time; Robert Edes, a respected cricket researcher, also concurred in 1899, after registering 56 “chirp counts” over an 8-week period. The most thorough study on the matter came in 1907, when another expert “wholly sided” with Dolbear (though he noted that the formula didn’t hold true for every cricket, as each insect varied in “individual and psychological” make up).
When a renowned entomologist included Dolbear’s formula in his textbook in 1907, it suddenly became regarded as 100% scientific truth; the snowy tree cricket, which many assumed Dolbear had used, became known as the “temperature cricket,” and was referenced by hundreds of scholars in the field. By 1948, the formula was officially declared “Dolbear’s Law.”

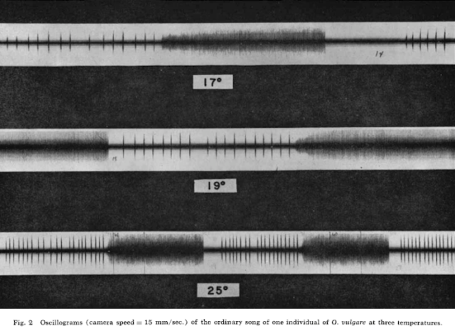
The frequency of a cricket’s chirps visualized by an oscillogram; H Frings, 1962
So, what makes Dolbear’s law tick (or chirp, rather)?
Crickets are cold-blooded and, as such, assume the temperature of their surrounding environment. Like other cold-blooded critters, crickets are enslaved to the Arrhenius equation (1889), which stipulates that a certain amount of “activation energy” is required for an insect to “induce a chemical reaction.” Chirping requires many muscle contractions (sparked by chemical reactions), and is thus dependant on the weather: at lower temperatures, the rate of chemical reactions in a cricket’s body slows, its muscle contraction frequency decreases, and, as a result, its chirping frequency diminishes.
Over the years, Dolbear’s formula has been adjusted for other species of crickets (ie. the field cricket and Katydid, or “bush cricket”). It’s also been simplified (you can attain the same temperature result by simply counting the number of chirps in 15 seconds and adding 40). The graphic below presents, based on his formulas, the temperatures that correlate with a cricket’s chirping frequency:

Field crickets are the most common species in the US) — they’re probably what you’re hearing
And here’s another thing you should know about crickets: Those chirps you hear when you’re laying in bed at night aren’t just produced for kicks — they’re mating calls. When crickets are on the prowl, they let the entire neighborhood know about it.
A common (and horribly incorrect) myth is that a cricket produces its signature “chirp” by rubbing its legs together. In actuality, the noise occurs when the insect strokes its stridulatory organ, a large, comb-like vein running along the bottom of each wing. In the process, the cricket spreads its wings up and out and they act as “acoustical sails,” amplifying the noise for all to hear — including his sonically-attuned mate (about 95% of crickets that make the noise are male).
Musically-gifted and a natural thermometer — what more could you ask for in a suitor?
![]()
This post was written by Zachary Crockett; you can follow him on Twitter here.
To get occasional notifications when we write blog posts, please sign up for our email list.